网站首页
  • 首页
  • 医院概况
  • 医院动态
  • 科室设置
  • 就医指南
  • 专家团队
  • 政策法规
  • 中医保健
  • 信息公开
  • 名师经验
  • 中医药文化

欢迎光临滨州市中医医院院

医院简介 书记致辞 医院荣誉 医院文化 设备环境

医院新闻 通知公告 媒体报道 精彩视频 医患互动

重点专科 临床科室 医技科室 名医传承工作室 苏萍全省名老中医药专家传承工作室 孙向红全省名老中医药专家传承工作室

就诊须知 住院指南 科室分布 急诊常识 专家出诊 乘车线路

专家团队 外聘专家团队 专家风采

中医药政策 行业性政策法规 医院规章制度 重大事项 服务标准化建设 医学科研诚信 滨州市中医医院单位预算 滨州市中医医院决算 党务公开

特色护理 急救常识 养生保健 健康自检 医学科普

基础信息 资质标识 环境引导 诊疗服务 行风与投诉 科普健教 便民服务 依法执业 物价公开 招标公开

经典案例 名师课件

基地情况 中医药义诊科普 基地参观 宣传教育活动 文化信息 国粹中医·节气养生/节日养生 国粹中医·岐黄廉韵

信息公开

  • > 基础信息
  • > 资质标识
  • > 环境引导
  • > 诊疗服务
  • > 行风与投诉
  • > 科普健教
  • > 便民服务
  • > 依法执业
  • > 物价公开
  • > 招标公开

资质标识

主页>信息公开>资质标识

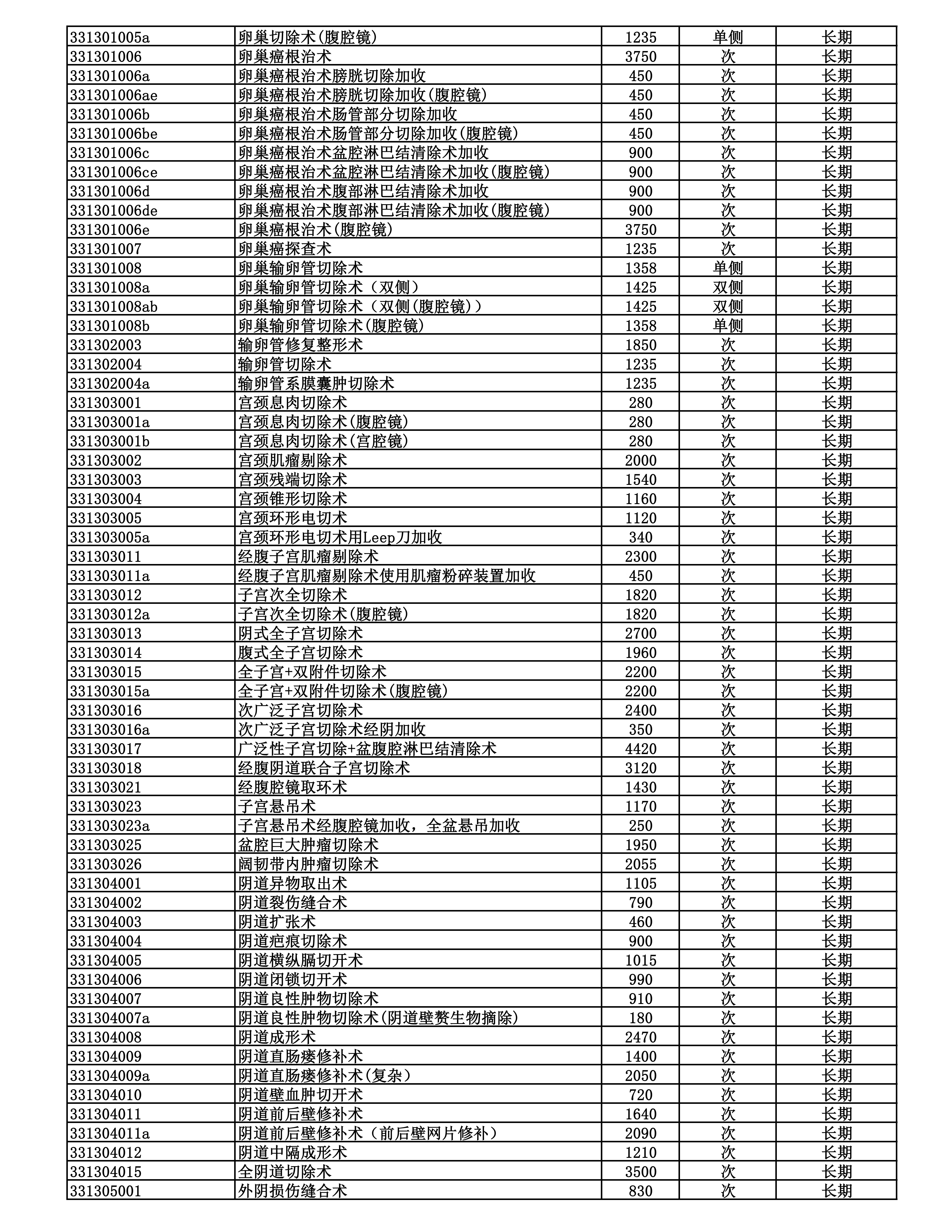
价格

 

价格公示【点击查看全部】

                          

 

草药价格公示【点击查看全部】

 

西成药价格公示【点击下载查看全部】

 

药品耗材价格公示【点击下载查看全部】

 

版权所有 © 滨州市中医医院 地址:山东省滨州市新立河西路917号 导诊咨询电话:0543-3374500 投诉电话:0543-3366640 24小时服务电话:0543-3366666 监督电话:0543-3361806 E-mail:lu372301@163.com

鲁ICP备10026845号 滨公备0601199